Hydrogels are a type of
biology
Compatible three-dimensional structured gels, some hydrogels can also have unique responses to pH, temperature, electric field and light and produce changes in physical and chemical structures, which are widely used in smart sensors, bioengineering, and soft robotics. In recent years, hydrogels have also begun to be used in solar-driven water evaporation, desalination, water purification and disinfection, and solar-driven hydro-electric-hydrogen power generation. It has been reported that hydrogel solar vaporizers (SVGs) can achieve fairly high water evaporation rates under one sunlight (light intensity about 1000 Wm-2) by tuning the interaction between the polymer network and water molecules. Since evaporation occurs at the hydrogel interface, rational design of the surface microstructure of evaporative materials is particularly important for solar water evaporation. In order to fabricate hydrogel functional devices with complex three-dimensional structures, microscopic 3D printing methods based on stereolithography are gaining popularity.

Recently, the team of Professor Zhang Tiejun of Khalifa University proposed a new method for the preparation of three-dimensional functionalized hydrogel devices.The team achieved high precision in hydrogels using a novel micro-stereolithography technique (nanoArch S130, Mofang Precision).3D printing, and introduced metal salt ions into the hydrogel monomer mixture p(NIPAm-co-PEGDA), and finally obtained a hydrogel solar evaporator containing iron oxide nanoparticles (Fe3O4NPs) with high light absorption properties.The preparation method successfully solved the3D printingMultiple problems in composites such as uneven particle distribution, agglomeration, scattering of curing light and resulting degradation in print quality and resolution. The composite hydrogel structure fabricated by this method exhibits excellent light absorption properties and fast capillary water transport properties, and achieves an ultra-high water evaporation rate of 5.12 kgm-2h-1 under non-light-converging conditions. The related results were published in the journal EcoMat under the title of “Direct solar vapor generation with micro-3D printed hydrogel device”.

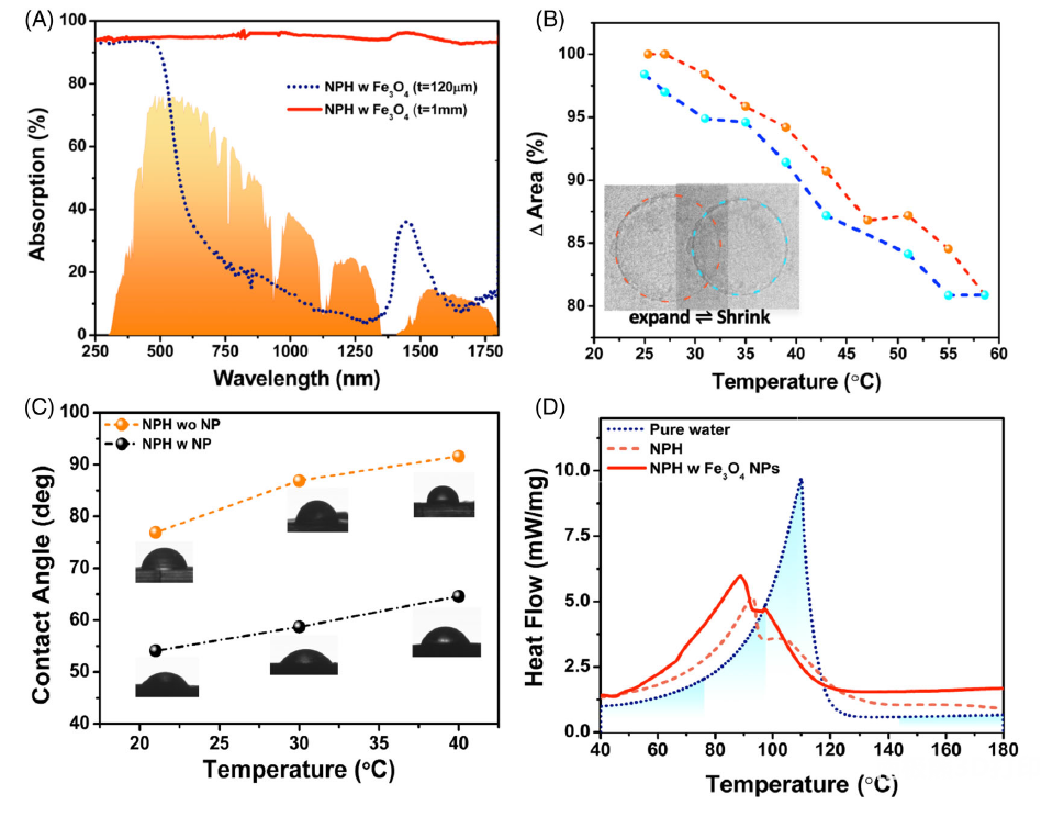
In this study, the metal nanoparticle-containing hydrogel (NPH) solar water evaporator device is shown in Fig. 1(a), which consists of two main components: (i) 3D-printed NPH anisotropic structure, evaporating surface Features Fe3O4 nanoparticles for enhanced solar energy absorption, while the bottom layer is embedded with interconnected microchannels printed using NPH; (ii) superhydrophilic PEGDA foam as capillary material and a network of microchannels (with a microchannel width of 250 μm). The team members used surface projection micro-stereolithography (nanoArch S130, Mofang Precision) to complete the device fabrication. To fabricate the NPH solar water vaporizer via micro 3D printing, the team prepared two printing material formulations. The base formulation is a light-curing/temperature-responsive NPH hydrogel. Once cured, the monomers cross-link to produce a microporous surface (5 ± 0.8 μm in pore size), as shown in the scanning electron microscope (SEM) image in Figure 2. In order to mix Fe3O4 nanoparticles into the hydrogel cross-linked network, the team first mixed the metal salts Fe(NO3)3 and FeCl2 into the basic formula of the hydrogel printing material. After the printing was completed, the device was placed under alkaline conditions. Fe3+ and Fe2+ will co-precipitate to form Fe3O4 nanoparticles. As a result, the surface of the NPH device finally prepared is lacquered black, reflecting the strong light absorption ability of the film.
Under daily sunlight exposure, the water evaporation rate of this NPH device is about 5.12 kgm-2h-1. This ultra-high steam generation rate is associated with Fe3O4 nanoparticles-induced wettability transitions and water activation capabilities within the hydrogel network. To further investigate the overall stability of the device, the team also conducted a series of experiments under different intensities of solar radiation and salt water (3.5 wt% NaCl solution). Consistent with the initial experimental results, the 3D printed NPH hydrogel devices exhibited remarkable evaporation rates of 3.96, 5.12 and 6.48 kgm-2h-1 under simulated solar intensities of 500, 1000 and 1500 Wm-2, respectively, They are shown in Figure 3 respectively. Compared with previously reported hydrogel-based materials, the NPH evaporator proposed in this work exhibits ultra-efficient solar water evaporation capacity and has great application potential in solar wastewater treatment and seawater desalination.



Original link:
https://onlinelibrary.wiley.com/doi/full/10.1002/eom2.12157
(responsible editor: admin)

0 Comments for “Zhang Tiejun’s research group “EcoMat”: 3D printing functional hydrogels to achieve ultra-efficient solar water evaporation”