China3D printingNet, May 18, Jaroslav Zechmeister, with the research support of the internal funding agency of the Brno University of Technology, developed the horn antenna as part of the PhD program. Zechmeister’s research results were recently published in “Used for High Directional Low Profile Antennas3D printingIn “Lens”, it explains which technologies and materials are used.
This production method is rapidly evolving and is applicable to many different industry sectors, including microwave technology-allowing for faster turnaround times, greater affordability and accessibility, and no need for design. Have to wait for an intermediary to make prototype or part changes. From liquid metal antennas to multiple input/multiple output antennas and multi-beam applications,3D printingIt has also been used in many projects with antenna functions.
Although it has been published about3D printingOther studies on dielectric lenses, but they are not directly related to this type of work, Zechmeister chose hyperbolic lenses with curved edges on only one side.

Antenna model with hyperbolic lens a) and hyperbolic lens solution b).
Due to the curved side, the advantage of the lens is that it does not cause interference above the aperture plane. The gain is provided by the horn antenna and is enhanced by increasing the aperture radius. This feature can be enlarged so that the radiated energy is sent through the side lobes.

The ideal radius a) and the maximum gain b) depend on the relative permittivity of the lens material.
Zechmeister chose ABS and a photosensitive polymer for3D printing, And measuring the manufacture of dielectric lenses used with Silon and Ertacel.
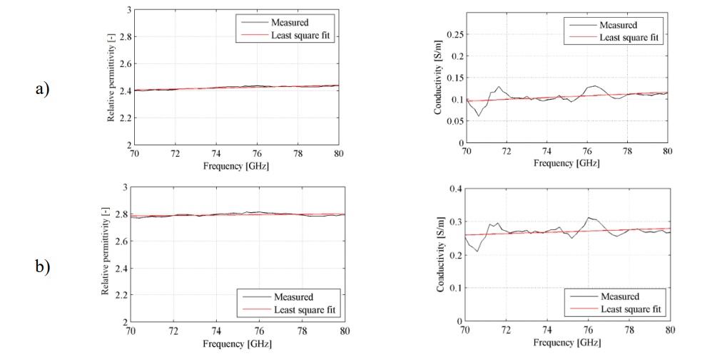
Zechmeister said: “The method is based on the measurement of the scattering parameters of the sample located in the sample holder. In this case, a waveguide WR10 is used as the sample holder.”

At 70

0 Comments for “Brno University of Technology: 3D printed lenses for high-directional low-profile antennas”